Projects 2022
Content
NRW Graduate School Future Water: Global water research in the metropolitan region Ruhr (Future Water)
Involved staff: Lotta Hohrenk-Danzouma (IAC Ph.D. student), Dr. Vanessa Kramer and Anja Cargill (Coordinator), Prof. Dr. Torsten C. Schmidt (Speaker)
Partners: Prof. Dr. Bernd Sures, Prof. Dr.-Ing. André Niemann, Prof. Dr. Martin Denecke, Prof. Dr. Rainer Meckenstock, Prof. Dr. Jens Boenigk, Prof. Dr. Nicolai Dose (University of Duisburg-Essen), Prof. Dr. Marc Wichern (Ruhr-University Bochum), Dr. Jochen Türk, Michelle Klein (IUTA), Prof. Dr. Sigrid Schäfer (IU Internationale Hochschule GmbH), Prof. Dr. Mark Oelmann (HRW Mülheim), Dr. Steven Engler (Ruhr-University Bochum) and many mentors and collaborators from the water and wastewater sector
Funding: Ministry for Culture and Science of the State of North-Rhine Westphalia (NRW) through the joint project "Future Water: Global water research in the metropolitan region Ruhr."

The multiperspective of inter-and transdisciplinary approaches allows for conducting innovative and path-breaking research. Combining knowledge and methods across disciplines makes identifying hitherto unnoted research questions possible. Tackling questions from different and novel angles allows for finding answers that have not been conceived before. Furthermore, integrating practitioners into these processes can enhance the relevance of the research questions, the fit of the methods applied, the effectiveness of research processes, and the applicability and outreach of the results.
This approach is at the heart of the graduate school "Future Water," located in the Ruhr metropolitan area in Western Germany.
In 2014, various academic and applied institutes joined forces to develop strategies for sustainable water management with a particular focus on the urban water cycle. The following figure describes the many facets of that work. The wide array of disciplinary backgrounds represented in the graduate school made building bridges between the natural sciences, applied engineering, and social sciences possible and necessary. In Future Water, 12 Ph.D. students and a coordinator position are funded. In addition, the Centre for Water and Environmental Research (ZWU) at UDE coordinates the activities of Future Water. In 2019, a continuation of the graduate school in a second funding phase, 2019-2022, was granted. The funding ended in June 2022.
At IAC, one project (Lotta Hohrenk-Danzouma) focuses on analyzing micropollutants introduced by diffuse sources with non-target screening. Non-target screening is based on high-resolution mass spectrometry and can detect a broad range of analytes at low concentrations in one full scan measurement. It provides a complete overview of compounds present in a sample, enables the identification of formerly unknown contaminants, and reveals temporal or spatial trends.
Tiny streams can be affected by the diffusive introduction of pollutants like agricultural run-off due to smaller dilution ratios and peak exposures after heavy rainfalls. Passive samplers accumulate organic micropollutants over a specific period; more comprehensive monitoring is possible, and episodic pollution events are less likely to be missed than spot samples.
With non-target analysis approaches, huge datasets are recorded, and extensive data processing is necessary. Different chemometric tools can be further used for data mining and prioritizing relevant pollutants. The current project analyzed passive sampling extracts with an LC-HRMS-based non-target screening method and temporal- and spatial trends. The results were recently published in Environmental Science and Technology (doi.org/10.1021/acs.est.1c08014).

Inhibitory and/or stimulatory role of dissolved organic matter in advanced oxidative processes
Involved Staff: Dr. Anam Asghar, Dr. Klaus Kerpen, Dr. Torsten C. Schmidt
The degradation of organic micropollutants (OMPs) by advanced oxidation processes (AOPs) poses a significant challenge due to the complexity and diversity of water matrices. Water matrix constituents, particularly dissolved organic matter (DOM), impact their effectiveness. DOM is a complex mixture of heterogeneous compounds with a continuum of functional groups and molecular sizes. The reactivities and concentrations of such functional groups determine the extent of the NOM-oxidant interactions and, thus, simultaneously induce promoting and inhibiting effects. Therefore, during the application of AOPs, DOM can block light penetration, scavenge radicals/oxidants, and enhance the formation and reactivity of useful reactive oxidative species to eliminate OMPs and alter the transformation pathways. Therefore, the research needs to advance the structural and practical understanding of how DOM can be exploited to enhance the synergistic properties effects of DOM and improve the performance of oxidative processes.
To develop a comprehensive understanding of the multiple roles of DOM in the application of AOPs, it is necessary to look at the underlying mechanisms probably by choosing appropriate surrogates or model DOM/NOM model compounds of different sizes and functional groups and subsequently investigate their role in oxidative processes. Therefore, this project aims to pitch the idea of using different NOM/DOM model compounds having different molecular sizes and functional groups to understand the mechanisms governing synergistic and/or inhibitory properties of DOM in AOPs.
Characterization of transformation processes using high-resolution mass spectrometry
Involved staff: Valentina Merkus, Prof. Dr. Torsten C. Schmidt
Involved students: Michael Leupold, Sarah Rockel, Christina Sommer
Partners: Esther Smollich, Prof. Dr. Bernd Sures, Aquatic Ecology, University of Duisburg-Essen
Funding: Fonds der Chemischen Industrie (FCI)

Figure 1: Ozonation of sample compounds in defined water matrices to unknown products (left) followed by transformation product identification by LC-HRMS (top right) and ecotoxicity testing (bottom right).
Oxidation processes are widely used in wastewater treatment to remove micropollutants, although there is still a lack of knowledge of the ongoing mechanisms. It is known that organic substances are transformed into reaction products. These transformation products may then reach the environment instead of the original pollutants. Here they may cause several negative impacts like ecotoxicological or endocrine effects. Hence, there is interest in identifying transformation products of widely spread contaminants and understanding their formation in various water matrices.
However, examinations are barely possible for all compounds due to the high number of detected pollutants in wastewater. Therefore, the ozonation of small, general structures and related, more complex structures, including environmentally relevant pollutants, is investigated in this project. Special attention is given to the influence of water-matrix components such as alkalinity, organic matter, and inorganic anions. This work aims to predict the ozonation of micropollutants on their general structure and dependence on the water matrix. Purine, its derivatives guanine and adenine, and the antiviral guanine derivatives acyclovir and penciclovir were chosen as model substances. The project includes examinations of their ozonation like stoichiometry, reaction kinetics, quantification of target products, and identifying unknown transformation products using high-resolution mass spectrometry.
The first results of reaction kinetics and stoichiometry indicate different sites of ozone attack at the derivatives and show that the impact of hydroxyl radicals varies depending on the analytes and reaction conditions. Altogether, similarities in ozonation were not observed for the three basic structures but for guanine and its antiviral derivatives.
The second part of the project is the ecotoxicological examination of the ozonation of ibuprofen. First, ecotoxicity is studied by standardized tests such as acute toxicity testing on Daphnia magna and freshwater algae tests with Desmodesmus subspicatus. Simultaneously, transformation products are identified, and their formation and degradation, depending on the ozone dosage, are examined by high-resolution mass spectrometry. Parameters such as pH are changed to affect the formation of oxidation products and, therefore, the ozonated mixture's ecotoxicity. Statistical correlation of product formation and observed ecotoxic effects allows identifying potentially ecotoxic products. As a result, it was possible to detect six ozonation products that might be more toxic to green algae than ibuprofen. Moreover, results underline the importance of mixture toxicity in transformation processes.
Photocatalysis of the β-lactam antibiotic amoxicillin and clavulanic acid for the Prevention of the spread of antibiotic resistance : Kinetics, matrix effects, and transformation processes
Involved Staff: Michael Leupold, Dr. Anam Asghar,
Prof. Dr. Torsten C. Schmidt
Partner: Prof. Dr. Barcikowski, Prof. Dr. Folker Meyer,
Dr. Dr. Ricarda Schmidthausen
Funding: Internal
The research project aims to remove antibiotics and antibiotic resistance genes in hospital wastewater by photocatalysis to counteract the environment's global contamination and antibiotic agents' associated loss of efficacy. In urban areas, antibiotics and resistance genes enter the environment through wastewater because wastewater treatment plants are not optimized to remove pharmaceuticals or resistance genes. Resistance genes in the environment threaten human health, as they can travel from there back to the population (Westphal-Settele et al., 2018). If nothing is done, antibiotics will soon become ineffective in combating infectious diseases, which is predicted to lead to 10 million annual deaths worldwide by the middle of this century (O'Neill, 2016). One solution strategy is to treat wastewater using photocatalysis (Nosaka et al., 2017). Unfortunately, whether universal antibiotics and antibiotic-resistance genes can be removed in complex matrices is unclear. Nevertheless, photocatalysis is promising because, compared to other treatment methods, it can be expected to produce high yields of reactive oxygen species that can effectively degrade pharmaceuticals.
A photocatalytic reactor for testing photocatalytic materials was developed during the research project. Using the two beta-lactams, amoxicillin, and clavulanic acid, as examples, it will be shown how the presence of artificial matrices influences the kinetics and transformation product formation. In addition to the analytical methods of coupling liquid chromatography with high-resolution mass spectrometry, parameters relevant to degradation, such as dissolved organic carbon, pH, and dissolved oxygen, will be measured. A schematic overview of the reactor and the planned online and at-line measurements are attached to Figure 1. The knowledge gained will then be used halfway through the research project to study amoxicillin and clavulanic acid and their corresponding resistance genes in real hospital wastewater.
Furthermore, since many different antibiotics and corresponding resistance genes can be expected to be found in real hospital wastewater, a group of ten relevant antibiotics and their corresponding resistance genes will also be selected according to their relevance, quantified in real samples, and tested for photocatalytic degradability. The group should contain antibiotics from all important substance classes. Finally, the research data will be published in lectures, poster contributions, publications, and suitable databases.

Figure 1 schematic overview of the reactor and planned online and at-line measurements. (1) reaction chamber, (2) cooling system, (3) low-pressure lamp, (4) immobilized photocatalyst on a module, (5) module slot.
Literature:
Nosaka, Y., & Nosaka, A. Y. (2017). Generation and Detection of Reactive Oxygen Species in Photocatalysis. Chemical Reviews, 117(17), 11302-11336. https://doi.org/10.1021/acs.chemrev.7b00161
O'Neill, J. (2016). Tackling drug-resistant infections globally: final report and recommendations.
Westphal-Settele, K., Konradi, S., Balzer, F., Schönfeld, J., & Schmithausen, R. (2018). Die Umwelt als Reservoir für Antibiotikaresistenzen. Bundesgesundheitsblatt - Gesundheitsforschung - Gesundheitsschutz, 61(5), 533-542. https://doi.org/10.1007/s00103-018-2729-8
Compound-specific stable isotope analysis of aminopolyphosphonate complexing agents to elucidate their sorption and transformation processes in environmental and technical systems
Involved staff: Robert Marks, Dr. Maik A. Jochmann
Involved students: Felix Drees, Sarah Rockel
Partners: Prof. Dr. Stefan B. Haderlein, Center for Applied Geoscience, Univ. Tübingen, Dr. Daniel Buchner, Center for Applied Geoscience, Univ. Tübingen
Funding: German Research Foundation (DFG) Project Grant 457490294
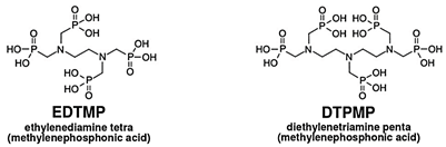
Phosphonates are strong metal complexing agents with growing commercial importance. The global consumption of phosphonates increased from 56 kt a-1 in 1998 to 96 kt a-1 in 2012 (and from 15 kta-1 to 49 kta-1 in Europe) (Rott et al., 2018). Since the 1980s, they have been used to replace the structurally similar aminopolycarboxylates (e.g., ethylenediaminetetraacetic acid, EDTA) and polyphosphates, which were partially phased out due to adverse environmental effects such as heavy metal remobilization from sediments and surface water eutrophication (Jarvie et al., 2006; Wu et al., 2003). Phosphonate concentrations in German rivers are currently in the ngL-1 to low μgL-1 range but are predicted to increase due to increased production and usage (Armbruster et al., 2020). The quantitatively most essential phosphonates are 1-hydroxyethane 1,1-diphosphonic acid (HEDP), 2-phosphonobutane 1,2,4-tricarboxylic acid (PBTC), amino tris-(methylenephosphonic acid) (ATMP), ethylenediamine tetra-(methylenephosphonic acid) (EDTMP) and diethylenetriamine penta-(methylenephosphonic acid) (DTPMP) (see Fig. 1). ATMP, EDTMP, and DTPMP are termed aminopolyphosphonates (APP).


Figure 2: Polyphosphonic acid complexing agents are widely used in Europe (adapted from Rott et al. (2018)). ATMP and EDTMP were selected as model compounds in the proposed research
The current ability to assess the environmental fate of aminopolyphosphonates is poor, primarily due to the lack of knowledge about the significance of sorption and degradation processes for the overall removal of APPs from the aqueous phase. Furthermore, reaction mechanisms and pathways of AAP transformation reactions are not fully identified, hampering a prediction of the effects of crucial parameters (e.g., pH, cation concentrations, competing ligands) on the fate of APP in environmental and technical systems. Furthermore, as product analyses often comprised only orthophosphate and total phosphorous, the knowledge regarding transformation products is incomplete. These knowledge gaps hamper assessing the environmental fate of APPs and the design of treatment strategies for the efficient removal of APP in technical systems. Hence, a more detailed evaluation of the effects of decisive parameters (pH, complexing cations, degree of complexation, etc.) on sorption and transformation processes is needed. Therefore, we will conduct carefully designed experiments and will apply LC-CISA (liquid chromatography-isotope ratio mass spectrometry) in combination with LC-HRMS (LC-high resolution mass spectrometry) and other advanced analytical techniques and experimental procedures to identify and characterize the most significant attenuation processes and mechanisms of APPs as well as their major transformation products.
Effects of the water matrix on transformation product formation
Involved Staff: Katharina Klein, M. Sc., Dr. Vanessa
Wirzberger, Dr. Anam Asghar, Kaliyani Wickneswaran, B. Sc, Dr. Gerrit
Renner, Dr. Maryam Vosough, Dr. Klaus Kerpen, Prof. Dr. Torsten
Schmidt, Prof. Dr. Holger Lutze (external, TU
Darmstadt)
Funding: DFG
It was shown that matrix components could affect the transformation product (TP) formation during oxidative processes. This was first observed in the ozonating dimethylsulfamide to the cancerogenic compound N-nitrosodimethylamine (NDMA), which required the presence of bromide. However, such effects of the water matrix on transformation processes are hardly investigated. The present project deals with matrix effects on transformation processes governed by natural organic matter (NOM). In the reaction of N-containing pollutants, reactive intermediates such as aminyl radicals, nitroxide radicals, and singlet oxygen can be formed, and their reactions to final products (Figure 1) are hardly studied yet, which is one primary task in the current project.

Figure 1: Possible reaction pathway of nitrogen-containing compounds and their reactive intermediates
Thereby kinetics of the reaction with aminyl radicals with simple model compounds representing reactive sites of pollutants will be investigated using laser flash photolysis coupled with time-resolved UV-Spectroscopy (ICCD Camera). Moreover, the formation of singlet oxygen was studied via luminescence measurement using a NIR-photomultiplier. Therefore, a reference reaction (OCl- + H2O2 → Cl- + H2O + 1O2), known to yield singlet oxygen, was used to calibrate the system.
Furthermore, the changes in the optical properties of NOM (Suwannee River and Upper Mississippi River) upon reactions with oxidants used in water treatment (O3, ClO2, and O3 + PMS) are investigated using excitation-emission measurements/matrices (EEM), UV-Vis spectroscopy, NPOC measurements (see Figure 2).

Figure 2: Variables, measured and derived data for investigating the structural changes of NOM via oxidation
Therefore, we used the multivariate approach parallel factor analysis (PARAFAC) to decompose the complex mixed EEM into different underlying components and additionally calculated the changes of SUVA, Peak Ratios, and absorption at 254 nm. To study the different effects caused by oxidant, NOM type, or pH value, we used the chemometric method ANOVA simultaneous component analysis (ASCA) (see Figure 3).

Figure 3: Scores of the ASCA model for O3, ClO2, and O3 + PMS. Top: NOM Scores for PC 1_NOM. Left: Oxidant Scores for PC 1 and Oxidant Scores for PC 2. Right: pH value Scores for PC 1 and pH value Scores for PC 2. The corresponding ellipses show confidence with a 95% limit.
Global Young Faculty VII: AG: Applied Science Communication
Involved staff: Dr. Gerrit Renner
Partners: Dr. Christian Mainka, Dr. Valentina Nachtigall, Dr. Baoxiang Peng (Ruhr-University Bochum), Dr. Frédéric Etienne Kracht, Dr. Maximilian Krug, Dr. Fatih Özcan, Dr. Sven Reichenberger, (University of Duisburg-Essen), Dr. Sabrina Pospich (Max-Planck-Institute of Molecular Physiology), Dr. Daniel Siegmund (Fraunhofer Umsicht)
Funding: Stiftung Mercator

Figure 1: Materials used in an educational video that explains why using instant messenger services indirectly emits carbon dioxide equivalents. The video is part of a study investigating whether knowledge transfer affects knowledge transfer if the person transferring knowledge is perceived as an influencer or scientist.
Communicating scientific research results is an essential part of academic work. In science communication, researchers face the challenge of conveying their research activities, results, and implications to their peers or the general public in a targeted manner.
Central questions in this context could be: Why is my research relevant? Who could benefit from my research results? How can I reach my target audience? What do I need to pay attention to when communicating with a non-academic public?
In our interdisciplinary project, we are developing a framework from different perspectives – including chemistry, educational science, computer science, communication science, and physics – to improve science communication and support researchers in their communicative work. To do this, we analyze selected, target group-oriented formats to identify under which conditions communication intentions and effects of scientific messages can diverge. These analyses are based on our own experiences and those of active communicators in science and the public.
This project aims to identify evidence-based, target group-related success strategies for conducting successful and exceptionally efficient science communication. This should inform communicator scientists about future communication strategies and media.
AutoExtrakt – Development of a fully automated microextraction device and its application for the analysis of substances in complex matrices from food and environmental origin
Involved staff: Frank Jacobs, Dr.
Klaus Kerpen, Prof. Dr. Amir Salemi, PD Dr. Ursula Telgheder
Partners: GERSTEL GmbH&Co.KG
Funding: Federal Ministry for Economic Affairs and Energy (BMWi)
by the Central Innovation Programme for SMEs (ZIM)
This project aims to develop a fully automated and efficient extraction technique that enables sensitively analysis of toxicologically relevant substances in environmental and food samples. The substances are to be reliably detected both qualitatively and quantitatively. The extraction technology to be developed will enable laboratories for environmental and food controls to sensitively detect and quantify residues of environmental pollutants or aromatic substances in an automated process.
A new sample preparation technique based on SBSE (Stir bar Sorptive extraction) is being developed. SBSE as a technique is limited by the manual labor necessary in the sample preparation process. The motivation for this project was to automate the complete sample preparation process by using an x/y/z-sampler. Because of the new form factor, the sample agitation was done in a revised vertical shaking unit (QuickMix), so the tray could be cooled and heated. A wash and drying station is implemented to clean and dry the sorbent after extraction. The loss of analytes is minimized by featuring a centrifuge for drying the sorbent. For complete automatization of the process, an online conditioning station is also being introduced.
The Setup of the System consists of an MPS Autosampler (GERSTEL Gmbh&Co.KG, Mülheim, Germany) configured with a QuickMix, Wash/Drying-Station, Thermal Desorption Unit (TDU2) and Agilent 7890B GC with 5977B MS. A DoI approach was chosen for determining interdependency of parameters like sample extraction time, salt concentration and extraction temperature. The concentration range for calibration of 22 pesticides described in DIN 27108 was determined from low ng/L to 100 µg/L. Each measurement was performed in triplet as a minimum. In addition, blank measurements were done to ensure no carryover was present.
Method development by Design of Experiments resulted in optimized parameters: 90 minutes of extraction time, 70°C, 30% of NaCl (w/w). With these parameters, the relative standard deviation between measurements was in the single digits for most investigated pesticides, with none rising above 40%. High standard deviation can be traced back to analytes being less compatible with sorbent material. Therefore, SA-SBSE (solvent-assisted-stir bar sorptive extraction)1 could be helpful for those substances. First calibration results show good response in an extensive concentration range (1 - 1000 ng/L) for all analytes. Detection limits ranged from 2,93 ng/L to 187 ng/L, whereas LOQ ranged from 12.8 ng/L to 885 ng/L. These limits will be lower for calibrations in a more suitable range that fits the DIN 27108 specifications.
Investigation of Stable Isotope Fractionation during Abiotic Imidacloprid Degradation
Involved staff: Felix Niemann, Dr. Maik A. Jochmann, Prof. Dr. Torsten C. Schmidt
Funding: Internal
Despite political efforts to ban neonicotinoids like Imidacloprid, it is still ubiquitously in surface waters worldwide. Originally designed as an insecticide for sucking pests, its toxic effects on non-target organisms like pollinators and aquatic organisms are particularly worrying. Moreover, in the environment, it can undergo physical and (bio-)chemical transformation processes that facilitate mineralization and potentially produce more hazardous substances than the starting substance. This raises the importance of characterizing the transformation processes, estimating their contribution, and identifying factors influencing them.
This study focuses on abiotic imidacloprid degradation, such as hydrolysis and photolysis, as they contribute significantly to its natural attenuation in water bodies. In laboratory experiments, influences like spectral distribution, dissolved oxygen content, pH value, and addition of photosensitizers and quenchers are being investigated. Mass-spectrometry and methods for their quantification shall identify the main transformation products. A sunlight simulator was set up and characterized to approach environmental conditions.
This study's novelty is compound-specific stable isotope analysis (CSIA) as a tool to identify characteristic isotope effects for individual transformation processes. This technique has been proven to grant valuable insights into reaction mechanisms. Developed methods could also potentially be used to trace point sources of Imidacloprid in surface waters and monitor its environmental fate.

Figure 1: Flow chart of the project, including analytical methods utilized.
Polar compounds such as Imidacloprid are not directly analyzable by gas chromatography without derivatization. Therefore liquid chromatography coupled with a conversion interface and an isotope ratio mass spectrometer (LC-IRMS) was utilized for separation from its transformation products. The developed method uses only aqueous eluents, is robust, and could be tested successfully on real photolysis and hydrolysis samples.

Figure 2: LC-IRMS separation of selected transformation products of Imidacloprid.
Insights into amino acid metabolism and incorporation by compound-specific carbon isotope analysis of three-spined sticklebacks
Involved staff: Tobias Hesse, Dr. Maik A. Jochmann, Prof. Dr. Torsten C. Schmidt
Involved students: Shaista Khaliq
Funding: Internal
Interpretation of isotope data is of utmost importance in ecology to build sound models for studying animal diets, migration patterns, and physiology. However, our understanding of isotope fractionation and incorporation is still limited, as we do not know how much information about the metabolic history of consumers is reflected in the isotope signatures of individual compounds. We, therefore, measured the δ13C values of individual amino acids in a controlled feeding experiment from muscle and liver tissue of three-spined sticklebacks (Gasterosteus aculeatus).

Figure 1: The isotopic composition of amino acids in the liver responds quickly to a shifting carbon isotope signature in diets. Some amino acids (Asp, Glu, Pro, Arg, Lys) are directly routed from the diet into liver and muscle tissue, while others (His, Phe, Tyr) seem to have at least some contribution from sources like gut microbes. Carbon isotope fractionation of Ala, Gly, and Ser in the liver might reflect constant cycling and conversion of nutrients.
The carbon isotope signatures of amino acids in the liver responded quickly to small shifts of only ~1 to 2 ‰ in dietary isotope compositions, indicating the liver's fast nutrient turnover and role as a regulatory organ. In contrast, the isotope signature in muscle tissue remained constant over time. No carbon isotope fractionation between diet and fish tissues was observed for the non-essential amino acids asparagine, glutamine, and proline, as well as the essential amino acids arginine, lysine, and threonine in both liver and muscle tissue, supporting the idea of direct nutrient routing as opposed to de novo synthesis on a protein-rich diet. Minor differences were observed for the glycolytic amino acids alanine, glycine, and serine in the liver, indicating that metabolic processes such as glycolysis or gluconeogenesis can be tracked by carbon isotope signatures of their main substitutes. Our results further show an unusually high isotope fractionation of histidine, which could stem from a low abundance of histidine in diets to match the demand of the fish consumer or from the enzymatic conversion of histidine to histamine. We demonstrate that compound-specific isotope analysis has great potential to investigate the central metabolic pathways of organisms and suggest further investigations using isotopically enriched materials to facilitate the correct interpretation of field data.
Isotope-labeling in situ derivatization and HS-SPME arrow GC-MS/MS for simultaneous determination of fatty acids and fatty acid methyl esters in water
Involved staff: Lucie K. Tintrop, Dr. Maik A.
Jochmann, Prof. Dr. Torsten C. Schmidt
Funding: Internal

Figure 1: Principle and advantages of isotope-labeling methyl esterification compared to conventional methyl esterification for fatty acid derivatization.
Fatty acids (FAs) and fatty acid methyl esters (FAMEs) are relevant substances in the food industry, microbiology, water analysis, and biodiesel production and are analyzed for quality or process control. FAs and FAMEs are related and often appear together, as they can easily be transferred into each other. For some application fields, detecting FAs and FAMEs in one GC run simultaneously is helpful. However, conventional derivatization methods for FAs are based on methyl esterification, in which the FAs are transformed into FAMEs. The FAMEs originating from methyl esterification and the FAMEs naturally occurring in the sample cannot be distinguished using methyl esterification methods. An alternative derivatization approach is needed, which is fast, applicable to aqueous samples, and makes it possible to simultaneously detect FAs and FAMEs in the same samples.
During this study, it was achieved to analyze homologous FAs and FAMEs simultaneously in one GC run for the first time. A fully automated method was developed, which enabled the determination of 48 FAs and FAMEs in aqueous samples by in-situ FA esterification followed by solvent-free headspace solid-phase microextraction arrow (SPME arrow). FAs are derivatized before analysis by isotope-labeling esterification with deuterated methanol (CD3OD) to achieve a mass shift of +3 m/z compared to natural FAMEs.
The deuterated methyl group results in a so-called chromatographic isotope effect and, thus, a slightly shorter retention time (ΔRT = 0.03 min). Additionally, the deuterated methyl group leads to specific transitions by using GC-MS/MS operating in multiple reaction monitoring mode, which was used to identify the derivatives. Utilizing these features of the developed method makes the distinction between FAs and FAMEs straightforward. Esterification parameters (time, temperature, content of deuterated methanol, pH) were optimized by Design of Experiment to be 20 min, 50 °C, 4 v/v% CD3OD, and pH 2.1. The method was validated and showed good recoveries and method detection limits. FAs and FAMEs could be detected in aqueous samples from surface water, wastewater treatment plant outlet, and bioreactors at different conditions.
Development of a Data Quality Score for the Processing of Non-Target-Screening Data generated by HPLC-HRMS
Involved staff: Max Reuschenbach, Dr. Gerrit Renner,
Prof. Dr. Torsten C. Schmidt
Funding: Friedrich-Ebert-Stiftung e.V., Internal

Data generated by Non-Target Screening (NTS) with HPLC-HRMS is extensive and complex. Manual data processing of NTS is not feasible due to its complexity, so automated processing scripts such as feature detection algorithms are used instead. Generally speaking, there are many software solutions available for feature detection available. The different algorithms, however, possess different modes of action and, thus, are hardly comparable in their results. Furthermore, the established algorithms cannot estimate the influence of fluctuating data quality on the processing result. However, this quality is a valuable metric as it automatically allows us to filter out potential false-positive entries from the feature lists. Thus, this project analyzes the specific NTS processing steps, develops concepts to estimate data quality in the individual steps with a Data Quality Score (DQS), and combines the individual DQS values into a combined score. Furthermore, to reduce the influence of non-optimized user parameters in feature detection, we aim to develop parameter-free processing algorithms.
In the first work package, we dealt with the centroiding of HRMS profile data. This step reduces peaks in profile-mode mass spectra to their centroids possessing the peak's position and area. Information about asymmetry or high noise amplitudes of peaks is not retained during the processing step, conventionally, even though it is valuable to detect isotopic fine structures or non-resolved isobaric analytes. We developed a regression-based procedure applying error propagation rules to estimate the centroid's quality (DQSc). Low DQSc centroids show lower mass accuracy and precision over consecutive MS scans and, thus, are considered less reliable for feature detection. Using DQSc, we can now conserve the central profile information previously lost for further processing steps. The code of the centroiding algorithm is available as an open-source published in the journal Analytical and Bioanalytical Chemistry (DOI: 10.1007/s00216-022-04224-y).
The second work package was the construction of extracted ion chromatograms (EICs) from multiple consecutive HRMS scans (also called binning). Binning ions from the same ion family are grouped, and only their representative m/z value (e.g., mean) is retained. Only the chromatographic profile in the EIC is relevant for this group of ions. We developed a binning routine free of user-input parameters based on order statistics to extract EICs from Centroid data quickly and efficiently. As a core element, we perform a statistical test on whether a group of ions is drawn from one identical population. If that is not true, the bin must be split further. We applied this procedure in a highly dynamic algorithm, and the whole dataset was grouped into bins constructing EICs. To analyze data quality, we followed a concept from cluster analysis, the silhouette criterion. This criterion assigns bins a high DQSb if the m/z dispersion within a bin is small compared to the distance to neighboring bins.
In the future third work package peaks in the EICs will be detected, characterized, and their data quality analyzed. Further, the DQS from all three previous processing steps will be combined so that the user can easily access the reliability of obtained features.
Studies on electrochemical treatment processes for the decomposition of Persistent Organic Pollutants (POPs) in contaminated ground and surface water
Involved staff: Dua'a M.F. Tahboub, PD Dr. Ursula
Telgheder
Funding: The German Academic Exchange Service
(DAAD)
The presence of persistent organic pollutants in water is a severe environmental problem affecting human health and the ecological system. Perfluorinated compounds (PFC) and phosphonates are persistent, non-biodegradable compounds and release into surface water and groundwater in large quantities. These harmful compounds' degradation, removal, and detection are significant challenges in analytical and environmental chemistry. The primary purpose of this research project is to develop and optimize an electrochemical degradation (ED) method for water pollutants (PFCs and phosphonates) using cyclic voltammetry (CV) prior to LC-MS analytical determination.
In order to investigate the ED technique, Aminotris(methylenephosphonic acid) (ATMP) is considered a model substance for phosphonates degradation. However, the degradation of ATMP in the aquatic system generates intermediate products such as (IDMP) iminodi(methylene)phosphonate and (AMPA) aminotris(methylenephosphonic acid). Therefore, AMPA is a hazardous and toxic compound.
In this study, it is essential to set the electrochemical cell, optimize the proper electrolyte solution, select and characterize the working electrode and measure the oxidation potential of the water pollutant (i.e., ATMP). Accordingly, degradation experiments are carried out in water media without supporting electrolytes (SE) and are to be compared to a SE-containing electrolyte. Pristine graphite electrode (GRE), glassy carbon (GCE) electrode and boron-doped diamond electrode (BDD) are to be employed as working electrodes vs. (Ag/AgCl 3M KCl) as a reference electrode, individually, for CV experiments without any modification step or added chemicals. Furthermore, performing a long-term CV experiment to achieve complete ATMP degradation before LC-MS determination of the degraded compounds along the measured time.

Membrane processes in drinking water supply (KonTriSol)
Part: Membrane concentrate treatment with oxidative processes
Involved staff: Xenia Mutke, Prof. Dr. Holger V. Lutze (TU Darmstadt), Prof. Dr. Torsten C. Schmidt
Involved students: Kittitouch Tavichaiyuth, Felix Drees, Orkan Akin, Philipp Swiderski
Partners: IWW Water Centre, TZW, University Frankfurt, Technical University Berlin, Technical University Hamburg, Cornelsen Umwelttechnologie, Delta Umwelt-Technik, Lagotec, Lanxess, Solenis, Funding: Federal Ministry of Education and Research (BMBF)
The project KonTriSol deals with determining the technical, legal, and economic feasibility of nanofiltration (NF) and reverse osmosis (RO) processes. In drinking water treatment systems, NF and RO membrane technologies enable the reduction of water hardness, inorganic water constituents, natural organic substances, and anthropogenic substances. The resulting concentrates contain a high concentration of these substances and antiscalants added during treatment. The direct disposal of these concentrates into the environment could be hazardous to aquatic organisms and thus increase the micropollutant contamination of water bodies.

The IAC project part aims to investigate the potential of different oxidative processes for the treatment of membrane process concentrates. Therefore, in the first phase of this project, various oxidants (i.e., ozone, hydroxyl radicals, and sulfate radicals) were applied to evaluate the degradation of targeted antiscalants. Later, the effect of natural organic matter (NOM) and other radical scavengers was also considered. Finally, the second phase of this project evaluated the degradation efficiencies of antiscalants and trace organic pollutants using simulated and real water concentrates.
Diet-consumer interactions under variable stressor conditions as revealed by stable isotope studies of individual amino acids (A13: CRC RESIST)
Involved staff: Shaista Khaliq, Dr. Maik A. Jochmann, Prof. Dr. Torsten C. Schmidt
Partners: University of Duisburg-Essen, Ruhr-Universität Bochum, Leibniz Institute of Freshwater Ecology and Inland Fisheries, University of Cologne, Kiel University, University of Koblenz-Landau and Helmholtz Centre for Environmental Research
Funding: German research foundation (DFG)
The analysis of food webs allows for detailed conclusions on diet-consumer interactions and the origin of resources in ecosystems. Food webs derived from compound-specific stable isotope analysis (CSIA) of amino acids (AAs) can be used to unravel species' niches and trophic links between species under conditions of multiple stressors increase and release, thus allowing closer insight into ecosystem structures and functions characterizing response to degradation and recovery. Simplifying food webs with fewer trophic levels is particularly expected under stress conditions that should be reflected in δ15N of trophic and source AAs. In addition, δ13C analysis of essential and non-essential AAs will reveal changes in food sources due to ecological degradation and during recovery. Below is a schematic illustration of the relationship between AAs for estimating trophic levels.

Figure 1: Schematic illustration of the relationship between source AA (phenylalanine: Phe) and trophic AA (glutamic acid: Glu) according to their nitrogen isotope composition to estimate trophic levels of organisms from primary producers to top predators.
In this project, three specific hypotheses (SH) will be used to test the central hypothesis MH2 and MH3 of RESIST by doing CSIA of AAs of samples (macroinvertebrate, fish, and parasite) using GC-C-IRMS. These hypotheses are: (i) Hydro morphological stressors will mainly change the isotope values of higher organisms' non-essential and trophic amino acids. At the same time, stressors affecting water quality will also impact isotope values of essential and source amino acids and reflect changes in the community composition of primary producers (SH A13-1). (ii) Complex food webs can only recover if various food sources have been re-established (SH A13-2). (iii) Heteroxenous parasites indicate the complexity of aquatic food webs, as revealed by CSIA under recovery conditions, while monoxenous parasites can also strive on degraded sites (SH A13-3). In this regard, Work package (WP) 1 focuses on sampling, measurement, and data evaluation for the historical samples from 2012-2020 (macroinvertebrate) and the yearly field samples (macroinvertebrate, fish, and parasite). WP2 will focus on testing SH A13-1 by analyzing isotope data from fish, invertebrates, and parasite samples from the field sampling program on chosen degraded, recovered, and near-natural sites in the Emscher/Boye catchment. Moreover, in WP3, we will construct food webs based on the trophic positions (TPs) of organisms in a combined effort with other projects of RESIST. The following equation can calculate TPs of organisms.
TPGlu/Phe = (δ15NGlu− δ15NPhe − 3.4)/ 7.6 + 1
Non-Target Screening and Ecotoxicological Evaluation of Industrial Wastewater
Involved staff: Felix Drees, Prof. Dr. Maryam
Vosough, Prof. Dr. Torsten C. Schmidt
Involved students: Janina Marie Pytlik (Bachelor
Thesis)
Partners: Jörg Gisselmann (Head of Environmental
Operations, Evonik Industries AG, Marl), Nazmun Nahar, Esther Smollich,
Prof. Dr. Bernd Sures (Aquatic Ecology, University of
Duisburg‑Essen)
Industrial production and processing sites are potential environmental emission sources for organic (micro)pollutants. In particular, process and wastewaters, which are discharged into adjacent watercourses, play a central role since complex and dynamic compositions of chemical components characterize them.
In this context, a non-target screening combined with ecotoxicological investigations can provide essential information to improve on-site water treatment and protect the environment. Those with the greatest ecotoxicological potential can be prioritized and eventually identified from many components. In addition, transformation products unknowingly emerging from chemical processes happening in the water sewer system and water treatment processes can be identified.

Figure 1: Exemplary mass spectrum resolved by MCR‑ALS. It shows the relative intensities of all included regions of interest (m/z).
For non-target analysis, water samples are analyzed by liquid chromatography coupled with high-resolution mass spectrometry. Subsequently, the generated raw data is first filtered following the regions of interest approach and then resolved by multivariate curve resolution alternating least‑squares (MCR-ALS) modeling, which provides information on mass spectra (Figure 1), quantities, and chromatographic profiles (Figure 2) of each chemical component. Tentative identification is then made by comparison with different chemistry databases.
Regarding ecotoxicological evaluation, standardized acute and non-specific toxicity tests systems based on Daphnia magna (planktonic crustacean), Desmodesmus subspicatus (green algae), and Aliivibrio fischeri (bacteria) are applied.
The project is realized in cooperation with Evonik Industries AG, represented by Mr. Jörg Gisselmann, at the chemical park in Marl. As one of the largest production sites in Europe, it is a prime example of complex wastewater flows and their environmental challenges. With exciting scientific questions arising from data processing, we hope to support Evonik in its corporate sustainability strategy.

Figure 2: Chromatographic profiles resolved by MCR‑ALS of an exemplary sample. Panel A shows the total chromatogram, whereby panel B focuses on a highly condensed chromatographic part. Axes show signal intensities in dependence on retention time.
Innovative water technologies of the FutureWaterCampus (InnoWat-FWC) – Photocatalysis section
Involved staff: Felix Niemann, Dr. Klaus Kerpen, Dr. Anam Asghar, Dr. Torsten C. Schmidt
Funding: Europäischer Fonds für regionale Entwicklung (EFRE)
To promote innovation, research and support the establishment and expansion of research infrastructures and competence centers, InnoWat-FWC" was secured via the "Research Infrastructures NRW" competition and the European Regional Development Fund (ERDF). In this project, the participants in the ZWU network are jointly working to develop innovative water technologies for sustainable treatment and management of water and wastewater. The other research objectives include the development of integrated procedures, processes, and technologies in the field of algae, membrane, and photocatalysis for water management with far-reaching areas of application.
In the IAC department, the project investigates photocatalytic-based advanced oxidation processes for the degradation of recalcitrant organic micropollutants in ambient environments, i.e., in the presence of inorganic and organic water matrices. Photocatalytic-based processes have attention due to high yields of reactive oxygen species (ROS), thereby ensuring the complete mineralization of organic micropollutants (OMPs).
This project will be completed in collaboration with cooperative partners within the ZWU network. At the IAC, a modular, fully continuous photocatalytic water treatment train is developed (Scheme 1). Central elements of the water treatment train include i) flow-through photoreactor, ii) membrane systems for separating suspended solids and catalyst nanoparticles from the water phase, and iii) online water quality measurement technologies, i.e., TOC analyzer and mass spectrometer. The modular photocatalytic treatment train setup was built in the project's first phase. Preliminary tests will be planned to optimize process conditions for the modular wastewater treatment train. Photocatalyst materials will be obtained from our collaboration partner at UDE Duisburg and tested for photocatalytic degradation of micropollutants in ambient environments.

Development of a method for the analysis of the extracellular volatile metabolome of nosocomial pathogens by thermal desorption GC-MS and GC-IMS
Involved staff: Hannah Schanzmann, PD Dr. Ursula
Telgheder
Partners: Hamm-Lippstadt University of Applied
Sciences, ION-GAS GmbH,
Witten/Herdecke University
Funding: Bundesministerium für Bildung und Forschung,
Grant No. 13GW0428C
Nosocomial pneumonia is the most common cause of death among hospital-acquired infections. Therefore, a rapid and reliable diagnostic is crucial for starting targeted antibiotic therapy. However, culture-based diagnostic procedures often take up to 48 hours to identify the causal pathogen. Hence, a technology for the targeted detection of nosocomial infections needs to be developed. The project aims to identify pathogens based on their specific microbiological volatile organic compound (mVOC) profiles in exhaled air. Therefore, a mobile ion mobility spectrometer in combination with a gas chromatographic pre-separation unit (GC-IMS) was set up and had to be validated to measure these mVOCs from the human breath directly at the patient's bedside.
The headspace of bacterial reference cultures grown on plates (Pseudomonas aeruginosa, Staphylococcus aureus, Streptococcus pneumonia, Legionella pneumophilia, Acinetobacter baumannii complex, and Escherichia coli) is measured using the mobile GC-IMS to determine specific mVOC profiles and marker compounds. Furthermore, as the sampling chamber contains an incubator, freshly inoculated agar plates can be measured continuously during their growth phase.

Figure 1: Mobile solution for sampling microbial volatile organic compounds on sampling tubes for thermal desorption. On the left, the individual components are named. The mobile solution is in its entirety on the right.
Since identifying the individual mVOCs is essential to infer the specific metabolism of the pathogens, a thermal desorption gas chromatograph coupled to a mass spectrometer (TD-GC-MS) is established for validation. For parallel detection of the mVOCs, an IMS was introduced as a second detector in the same flow line using a flow splitter. Such a TD-GC-MS-IMS system has been built for the first time. In addition, a mobile and heatable solution was developed to ensure reproducible sampling for applying mVOCs on sampling tubes (see Fig. 1).
Initial measurements of selected bacterial strains demonstrate that especially the high detection power of the IMS enables the sensitive detection of pathogen-specific VOC patterns. Individual mVOCs can be identified using MS and an established IMS database of more than 30 relevant substances. For example, Indole can be found in Escherichia coli, a product of its tryptophan metabolism. Furthermore, it could be shown that specific mVOCs can be detected already after six hours of incubation. The next step will be performing a proof of principle trial in the clinical setting.
Non-radioactive ionization for spectrometry and spectroscopy
Involved staff: Annika Fechner, PD Dr. Ursula
Telgheder
Partners: Leibniz-Institut für Analytische
Wissenschaften – ISAS – e.V.
Ion mobility spectrometry (IMS) is used in analytics to detect volatile organic compounds (VOCs). One major step in analyzing samples using IMS is sample ionization. As radioactive ionization sources are the benchmark in commercialized IMS, developing a non-radioactive alternative is relevant. The Flexible Microtube Plasma (FµTP) is evaluated as a possible alternative. Initially developed by the Miniaturisation working group at ISAS e.V., this highly miniaturized ionization source might be the perfect candidate for coupling with the compact structure of an IMS. The use of the FµTP as an ionization source for the IMS has already been successfully realized under laboratory conditions. In this project, the coupling of the FµTP and a commercial IMS is validated and optimized. So far, the setup of the coupling is already adapted. For this purpose, components of the commercial IMS were redesigned and manufactured using 3D-Printing. After those adaptations, the FµTP could be successfully connected to the IMS. The developed FµTP-IMS shows excellent ionization efficiency.
Furthermore, the coupling of the FµTP and the commercial IMS was optimized for long-term stability and is currently validated. Additionally, the FµTP should replace the standard ionization source in commercial Gas Chromatography-IMS (GC-IMS). For this purpose, components of the GC-IMS were already redesigned and manufactured by 3D-Printing, too. Presently, the adaption and function of the GC-FµTP-IMS coupling are developed.
The developed couplings will be optimized to analyze different biologically relevant samples, e.g., the abattoir's signal molecules of bacteria and germs. A thermal desorption chip (TDC) will be used for a liquid sample application. The TDC was individually developed for the enrichment and controllable release of complex sample mixtures. In addition, it offers a miniaturized form of pre-separation and sample evaporation for the IMS through adjustable temperature programs. It has already been shown that it has excellent potential for directly measuring liquid sample mixtures using IMS.
Furthermore, the TDC is in an ongoing optimization for tasks in FµTP-IMS. By means, it will be optimized and characterized, especially regarding an increased sensitivity for different substance classes and the use of the smallest analyte concentrations in complex samples. Here, the first results prove an increased method sensitivity for multiple substances. Current adaptations include an efficient cleaning system to increase the TDC's lifetime and an automated sample application to simplify the TDC-FµTP-IMS approach.
Development of a new method for the determination of N-nitrosamines in the air at the workplace in the context of occupational safety - NNOccSafe
Involved staff: Jana Hinz, PD Dr. Ursula
Telgheder
Partners: Bonn-Rhein-Sieg University of Applied
Sciences
Funding: German Social Accident Insurance (DGUV)
Within the framework of a doctoral thesis, research regarding the selective and sensitive analysis of nine different N-nitrosamines relevant to occupational safety in Germany is being carried out as defined in the 'NNOccSafe Project", funded by the German Social Accident Insurance (DGUV). The work aims to develop a method based on the coupling of gas chromatography (GC) and ion mobility spectrometry (IMS) that supersedes the current state of the art for nitrosamine analysis regarding sensitivity, selectivity, economy, and ease of operation. Furthermore, the research aims to form the basis for an on-site or mobile technique for analyzing volatile nitrosamines in the relevant industries.
In 2022, the work was largely affected by the aftermath of the flooding in Rheinbach in July 2021. Nonetheless, some of the research goals for that year could be achieved. The focus was on developing three different analysis methods on the three IMS instruments available for the research: a GC-drift tube IMS with a tritium ion source, a GC-drift tube IMS with an X-ray ion source, and a GC-field asymmetric IMS equipped with a 63Ni ion source. These three systems are coupled to different sample preparation techniques, for which methods were also developed.
Another aim was the generation of calibration gas standards for the different nitrosamines to facilitate the enrichment of the analytes from the gas phase onto sorbent-packed (thermal desorption, TD) tubes. This task was performed using a calibration gas generator system based on the principle of permeation of the analyte molecules through a permeable material like polyethylene into a gas stream.
The results show that it is possible to detect, separate and identify nine nitrosamines relevant to occupational safety in approximately 10 minutes on each of the different analysis systems using the developed GC-IMS methods. Furthermore, it became clear that the drift tube IMS facilitates a much more selective analysis, as each nitrosamine shows distinct and characteristic drift times for the ions it produces. In contrast, the compensation voltages measured in the field asymmetric IMS for the nitrosamines were more comparable.
Within the framework of two BSc and one MSc theses, the sample preparation techniques solid phase microextraction (SPME), liquid injection, large volume injection (LVI), TD, headspace (HS), and in-tube extraction (ITEX) were or are being evaluated regarding highest enrichment factor/best sensitivity and compared among each other. The results of the MSc practical work are given in Figure 1, comparing instrument detection limits (IDLs) as the mean of all nine nitrosamines, between techniques, with TD and LVI recording the lowest IDLs for specific analytes.

Figure 1: Comparison of four sample preparation techniques (liquid injection, solid phase microextraction, large volume injection, and thermal desorption) in terms of instrument detection limit, given as nitrosamine concentration in air, at a sample volume of 400 L (and an elution volume of 2 mL).
Gas standards of the nitrosamines NDMA, NMEA, NPIP, and NDBA were generated for approximately two months, resulting in stable permeation rates and gas concentrations in the µg/m3 range, with NDBA showing the strongest permeation. These values were achieved at a temperature in the permeation chamber of 35 °C at a total gas flow of 1.25 L/min.
Current goals for the upcoming research include determining the limits of detection and quantification for the headspace and ITEX sample preparation methods to compare them to the other evaluated techniques. The TD technique must be further developed, and different sorbents must be compared to avoid the formation of nitrosamine artifacts. Sampling techniques must be implemented, and the most suitable method for analyzing nitrosamines in air at the workplace must be determined to begin with the validation procedure. The aim is to complete these steps within the current year, 2023.